What the not-so-NASA study really said

April 3, 2014

Ian Angus, co-author of Too Many People? Population, Immigration, and the Environmental Crisis, takes a closer look at a research paper that claims to reveal the factors that lead to the collapse of civilizations, in an article for the Climate and Capitalism website.

IF HUNDREDS of newspaper and online reports are to be believed, scientists at NASA's Goddard Space Agency have proven that Western civilization will collapse unless we radically reduce inequality and shift to renewable resources.

That would be important news if it were true. Is it?

The first person to say so was Nafeez Ahmed, a self-described "investigative journalist and international security scholar" whose blog is hosted by the UK Guardian. On March 14, he described an unpublished "NASA-sponsored study" that, he said, showed that "global industrial civilization could collapse in coming decades due to unsustainable resource exploitation and increasingly unequal wealth distribution."

Ahmed called the paper "a highly credible wake-up call to governments, corporations and business--and consumers--to recognize that 'business as usual' cannot be sustained, and that policy and structural changes are required immediately."

And the frenzy began. In two days, Ahmed's article was tweeted 6,500 times and shared 100,000 times on Facebook. The mainstream press ran headlines like these:

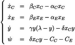
The authors of the study believe these four equations can explain the collapse of different civilizations through history
The authors of the study believe these four equations can explain the collapse of different civilizations through history

-- NASA predicts the end of western civilization (New York Post)

The utter collapse of human civilization will be "difficult to avoid," NASA-funded study says (National Post)

NASA-funded report says society is trending toward big collapse (Houston Chronicle)

NASA-funded study warns of collapse of civilization in coming decades (Times of India)

Most reporters simply quoted Ahmed's blog, not bothering to read the original study. Liberal and leftish writers did so enthusiastically, while right-wingers fulminated at NASA's anti-capitalist collectivism. If they had done their jobs and gone to the source, we might have been spared a lot of scare headlines, unwarranted praise and outraged denunciations.

Because there is much less here than meets the eye.

On March 20, NASA publicly denied that it had "solicited, directed or reviewed" the paper, calling it "an independent study by the university researchers utilizing research tools developed for a separate NASA activity."

The paper is signed by three U.S. academics. Lead author Safa Motesharrei is a PhD candidate in mathematics and public policy at the University of Maryland; his co-authors, Eugenia Kalnay and Jorge Rivas, are professors at the University of Maryland and the University of Minnesota, respectively. The only connection to NASA anyone has identified is a general research grant NASA gave to Professor Kalnay's department.

If the original blog post had made that clear, the study wouldn't have attracted much attention--as the headlines show, it was the supposed NASA connection that drew media interest.

Normally, I'd ignore a paper like this: many graduate students write papers, some get published, and most are quickly forgotten. But this one has been widely publicized, so it requires review, if only to understand its argument. After all, if the authors really have proved that Western civilization is on the brink of a collapse that only greater equality and a shift to renewables can prevent, ecosocialists should be eager to publicize it!

Unfortunately, far from being "a highly credible wake-up call," this much-hyped article adds nothing to our understanding of the causes and solutions of the global environmental crisis. The inclusion of egalitarian proposals should not blind environmental activists to its fundamental flaws.

We're told that the paper has been accepted by an academic journal, but it hasn't been published yet. Two somewhat different drafts have been circulated on the net: my comments refer to the more recent version, dated March 19, 2014. I'll refer to it as "the paper" or by the abbreviated title "Human and Nature Dynamics."


A Universal Model of Social Collapse

The paper's ambitious goal is to propose a mathematical model that explains why societies in general collapse. After listing several dozen complex societies that no longer exist--from the ancient Egyptian, Mesopotamian and Chinese empires to the Mayan civilization in Central America and Cahokia in the Mississippi Valley--they write that "although many different causes have been offered to explain individual collapses, it is still necessary to develop a more general explanation."

Others have tried to do that. Arnold Toynbee's A Study of History, a massive 12-volume work published between 1934 and 1961, claimed to have identified common factors in the fall of 26 major world civilizations. Others have focused on fewer cases: Edward Gibbon filled six large volumes in an effort to explain just one, in The Decline and Fall of the Roman Empire.

So the authors of "Human and Nature Dynamics" can only be termed ambitious for attempting to identify "a mechanism that is not specific to a particular time period of human history, nor a particular culture, technology, or natural disaster"--and even more ambitious for claiming not just that they have succeeded, but that they can express that mechanism in just four equations: two for population, one for "nature," and one for accumulated wealth.

They accomplish that astonishing feat by accepting, without reservation, the Malthusian claim that the decline of past societies--which they call "collapse," a term they don't define--was caused by population growth and/or mass consumption of limited resources. They identify several sources for that view, most notably Jared Diamond's Collapse: How Societies Choose to Fail and William Catton's Overshoot: The Ecological Basis of Revolutionary Change.

They seem unaware that the views of their preferred authors are, to say the least, controversial. Jared Diamond's arguments, for example, were thoroughly debunked by experts on each of the societies he described, in the excellent anthology Questioning Collapse: Human Resilience, Ecological Vulnerability and the Aftermath of Empire.

(For a critique of Catton's book, see George Bradford's How Deep is Deep Ecology, and for a general critique of populationism and carrying capacity theory, see chapters 3 through 6 of Ian Angus and Simon Butler's Too Many People? Population, Immigration and the Environmental Crisis.)

The authors call their four-equation model "HANDY," short for "Human and Nature DYnamics." It is based on the so-called "predator-prey model" created by mathematicians Alfred Lotka and Vito Volterra in the 1920s to show how interaction between competing species can affect population.

It says, for example, that if there are many rabbits but only a few wolves in an area, the wolf population will rise because food is plentiful, and the rabbit population will fall because they are being eaten. Eventually, there will be too many wolves and too few rabbits, so most of the wolves will starve to death. With fewer predators remaining, the rabbit population will increase, and the cycle repeats--lots of rabbits, then lots of wolves, then...

That sounds reasonable, but as population ecologist Daniel Botkin writes, both laboratory experiments and real-world observations have shown that "predator and prey do not oscillate as would a Lotka-Volterra set." That suggests Motesharrei and his co-authors are trying to explain 50 centuries of history using formulas that don't accurately describe a closed system containing just two kinds of animals.

Botkin's book is not listed in the bibliography, and there is no indication that the authors are aware that their fundamental formula may not be valid. They simply adopt it and declare, "We can think of the human population as the 'predator,' while nature (the natural resources of the surrounding environment) can be taken as the 'prey,' depleted by humans," and proceed.

But nature isn't a thing you can count, so how do you put it into an equation? The authors finesse that problem by replacing it with an imaginary currency they call "eco-Dollars," undifferentiated units that somehow reduce nature's variety and complexity to a single number. They don't explain how that could conceivably be done in the real world.

To their credit, the authors recognize that human societies are more complex than the simplistic predator-prey equations allow, so they have modified them to incorporate accumulated wealth (saved eco-Dollars) and social inequality. These additions make the model more complex, but they don't fundamentally change it. With humans as "predators" and eco-Dollars as "prey," the formulas produce an oscillation: when lots of eco-Dollars are available, the human population rises; when the eco-Dollars are depleted, the human population falls. Accumulated wealth can delay the population decline, and elite overconsumption can accelerate it, but the pattern remains.


Thought Experiments

Having reduced the complexity of human-nature interaction to four equations, the authors devote most of their paper to "thought experiments" about scenarios they say represent "three distinct types of societies."

In the "Egalitarian" scenario, everyone consumes and works equally. In the "Equitable" scenario, everyone consumes equally, but some do not work, so workers must work harder. In the "Unequal" scenario, non-working Elites consume 10 to 100 times as much as Commoners, who do all the work.

For each case, they calculate a "carrying capacity"--the maximum number of people that a given number of "eco-Dollars" can support indefinitely. Although they list Joel Cohen's authoritative work on this subject in their bibliography, they don't mention his conclusion that "the question 'How many people can the earth support?' has no single numerical answer, now or ever."

In each case, depending on how the variables are set, a graph shows whether the carrying capacity will never be exceeded, or will be exceeded intermittently in boom-and-bust cycles, or will be permanently exceeded, leading to total collapse. Although the authors don't say so, it turns out that in the long run, the only variables that really matter are total population and total consumption--because that's how the formulas are defined.

Their much-quoted statement that for an unequal society, "collapse is very difficult to avoid and requires major policy changes, including major reductions in inequality and population growth rates," isn't a political or sociological judgment; it's a mathematical abstraction.

Although the model purports to include all of nature as humanity's "prey," it becomes clear that by "nature," the authors mean "food," because each case of collapse is caused by hunger--either everyone starves because food production declines, or Commoners starve because the Elite eat more than their share. As economist Christopher Freeman said of an earlier attempt to predict the future with computer models, this is a case of "Malthus in, Malthus out."


Where's the Beef?

One of the most surprising features of the "Human and Nature Dynamics" paper is the absence of empirical data. That's right--a paper that some say proves the imminent collapse of Western civilization contains no evidence at all. It fails to show that any past society collapsed from overpopulation and mass or elite consumption, let alone that those are the causes of the environmental crises of the 21st century.

In fact, very little such evidence exists. In 2006, noted anthropologist Joseph A. Tainter, author of The Collapse of Complex Societies, surveyed the subject for the peer-reviewed Annual Review of Archaeology (ARA). After summarizing and evaluating all the studies he could find, Tainter wrote:

When the ARA Editorial Committee invited me to address the topic "Archaeology of Overshoot and Collapse," I assumed I could review only part of a voluminous literature. Although I have extensively read the collapse literature...I was surprised to realize that the literature has produced few cases that postulate overshoot of population and/or mass consumption, followed by degradation and collapse...Within the small overshoot literature, many of the most ardent proponents are outside archaeology...

There does not presently appear to be a confirmed archaeological case of overshoot, resource degradation and collapse brought on by overpopulation and/or mass consumption. [Joseph A. Tainter. "Archaeology of Overshoot and Collapse." Annual Review of Archaeology, 2006. p. 71. emphasis added]

Those few sentences fatally undermine the fundamental basis of all the equations and graphs in "Human and Nature Dynamics." Tainter's article is not listed in the paper's bibliography.


Back to the Real World

There is massive evidence that the existing social order is inflicting massive harm on humanity and the rest of nature, and the case for radical social change as the only permanent solution is very strong. The authors of the HANDY Model deserve respect and commendation for focusing on that, and for including social inequality as an important factor. My criticism of their work has nothing in common with the reactionaries and science-deniers who have loudly condemned them as dangerous radicals.

The problem is not that "Human and Nature Dynamics" is radical, but that it is not. Radical means going to the root, but this analysis remains on the surface, dealing with appearances, with things that can be counted and plugged into formulas. Not society but population; not nature but eco-Dollars; not history and class struggle, but graphs. Ahistorical formulas substitute for investigation of the specific social, economic, cultural and technological processes that have brought our particular society to this time of crisis.

As the British environmentalist and poet Paul Kingsnorth has written, this is a common failing of mainstream Greens: "They offer up remarkably confident predictions of what will happen if we do or don't do this or that, all based on mind-numbing numbers cherry-picked from this or that 'study' as if the world were a giant spreadsheet which only needs to be balanced correctly."

I'm reminded of a letter that Friedrich Engels wrote in 1890, criticizing self-proclaimed Marxists for whom historical materialism "serves as an excuse for not studying history."

But our conception of history is above all a guide to study, not a lever for construction after the manner of the Hegelian. All history must be studied afresh, the conditions of existence of the different formations of society must be examined individually before the attempt is made to deduce them from the political, civil law, aesthetic, philosophic, religious, etc., views corresponding to them.

Engels could have been addressing our modern Malthusians: Abstract formulas and assumptions about population and consumption in general cannot substitute for thorough examination of the concrete issues facing specific societies.

Academic economic theory has been described as pure mathematics based on unproven axioms. That's a pretty good description of this paper. Every one of the thought experiments should be preceded by a disclaimer like this: IF the factors we have identified are the right ones, and IF there are no countervailing factors, and IF the formulas we have produced are valid and sufficient to explain the process, THEN the these graphs may be worthy of consideration.

But if the assumptions aren't true, then it doesn't matter how good the math is or how many graphs are produced, because the entire process is irrelevant to the real world--and that is the world we need to understand and change.

First published at Climate and Capitalism.

Further Reading

From the archives